Peritrichous bacteria: E. coli


References:
  • W. Lee, Y. Kim, C.S. Peskin, and S. Lim, A novel computational approach to simulate microswimmers propelled by bacterial flagella, Physics of Fluids 33, 111903 (2021)
  • W. Lee, Y. Kim, and S. Lim, Bio-inspired in silico microswimmer: Run and tumble kinematics, Physics of Fluids, 35, 031908 (2023)
  • Animated Gif movies - Click to play
    Movie S1: Flagellar bundling & unbundling cases of cells with two flagella



    Movie S2: Run-and-tumble motion



    Movie S3: Swimming motion of cells with three (left panel), four (middle panel), and five (right panel) flagella



    Movie S4: Bacterial locomotion with different sequences of polymorphic transformation



    Movie S5: Repeated run-and-tumble motion



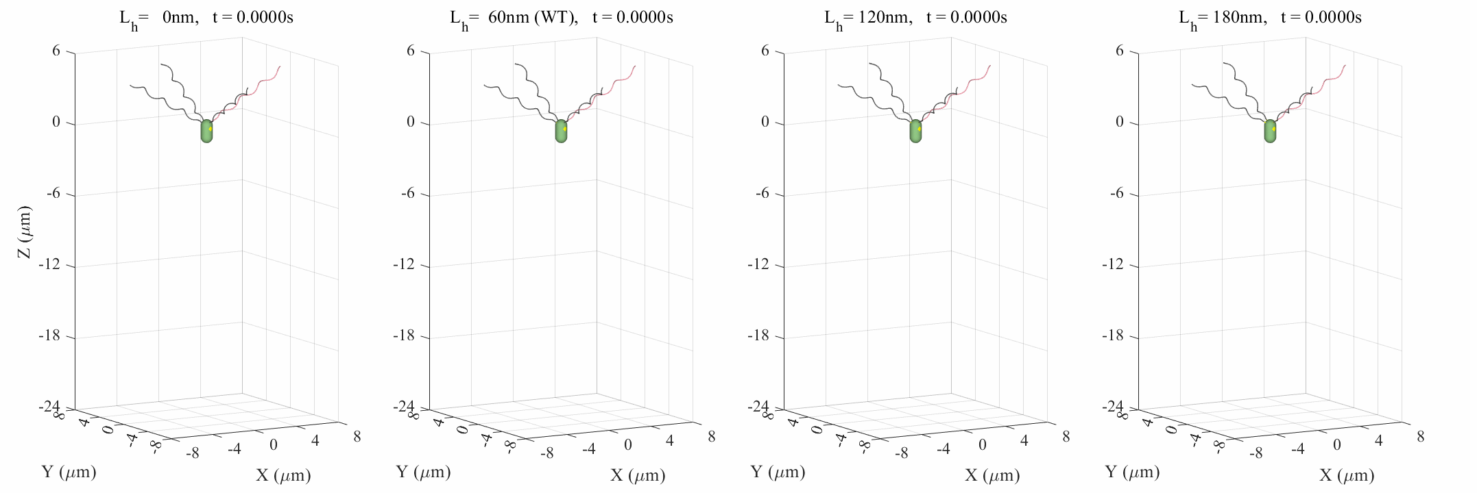
    Movie S6: The effect of hook length



    Movie S7: Run motion of a cell near a planar surface



    Movie S8: Cells under various shear rate flow in the presence of the planar wall



    Movie S9: Various tumble events in the presence of the wall