University of Cincinnati
ECE&CS Department

EE-612
Microwave Communication Lab.

Prepared by: Prof.Altan M. Ferendeci


Cylindrical Cavity

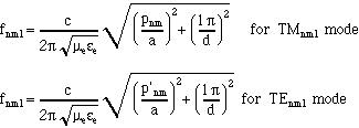
Cavity resonant frequencies are given by:

Copyright: A.M.Ferendeci, ECECS Dept.University of Cincinnati



or
Goto AMF Homepage