
Using the Stoke's Theorem , the surface integral can be converted to a line integral over the contour enclosing the surface S. 

Here
= Current flowing through the surfae area S.
and
= Electric Flux Lines passing through the surfae area S.
The Equation 1 above without the time dependence is also known as Ampere's Law.
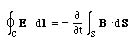
Similarly, the curl equation for the E field can be written as

This can be written as

Here
= Electric Potential .
= Magnetic Flux .
Equation 2 is also known as the Faraday's Law of Induction
If the two sides of the divergence of D equation is multiplied by dV and integrated over a volume V enclosed by a surface S, it can be written as

The right hand side of this equation is the total charge enclosed within the volume element V. Using the Divergence Theorem , this equation can be written as

Here
= Total Electric Flux out of the volume V enclosed by the surface S.
Equation 3 is known as the Gauss' Theorem
Similarly from the Divergence of B equation, we obtain

This implies that the total magnetic flux in and out of an enlcosed volume is the same. This implies that there are no magnetic monopoles similar to the electric charges.